That's equivalent to 93 Celcius) when it comes in contact with the grounds Lastly, the total dissolved solids (TDS) measured in any givenThe temperature of a cup of coffee t min after it is poured is given by the following equation where T is measured in degrees Fahrenheit T=80 90 e^(0055 t) a) What was the temperature of the coffee when it was poured?One approach to the serving temperature of coffee could go like this For your regular cup of coffee, go for 175ºF, but if you buy some really good coffee beans and want to really taste the coffee and discover all of its flavor notes and qualities, serve it at 150ºF or lower
Lumped Capacity Systems And Overall Heat Transfer Coefficients Springerlink
A cup of coffee is poured and the temperature is measured to be 120 degrees fahrenheit
A cup of coffee is poured and the temperature is measured to be 120 degrees fahrenheit-Suppose that the temperature of a cup of coffee obeys Newton's law of cooling If the coffee has a temperature of 0 F when freshly poured, and 1 min later has cooled to 190 F in a room at 70 F, determine when the coffee reaches a temperature of 150 F 195 to 5 degrees Fahrenheit is the recommended water temperature to use when preparing a pour over This is just before the water would begin to boil (212 degrees) You don't want to use boiling water because it will extract even more coffee from the grinds and lead to a



Lumped Capacity Systems And Overall Heat Transfer Coefficients Springerlink
The temperature, H, in degrees Celsius, of a hot cup of coffee placed on the kitchen counter is given by H=f(t), where t is in minutes since the coffee was put on the counter The temperature of the coffee is degreesThe rate at which the coffee is cooling, in degrees per minute, minutes after the cup is put on the counterLet's think about another scenario that we can modeled with differential equations and this is a scenario where we take an object that is hotter or cooler than the ambient room temperature and we want to model how fast it cools or heats up and the way that we'll think about it is the way that Newton thought about it and it is Newton's described as Newton's law of cooling Newton's law ofW (t) (degrees Fahrenheit) 550 571 618 679 The temperature of water in a tub at time t is modeled by a strictly increasing, twicedifferentiable function W, where W (t) is measured in degrees Fahrenheit and t is measured in minutes At time t = 0, the temperature of the water is 550 F The water is heated for 30 minutes, beginning at time t
You should use between 325 and 425 ounces of coffee grounds per 64 ounces of water (901 grams of coffee to 19 litres of water) The water temperature must be at 0 degrees Fahrenheit ( or – 2;That's equivalent to 93 Celcius) when it comes in contact with the grounds Lastly, the total dissolved solids (TDS) measured in any givenWhile studying for this quiz you realize that you still have 100 g of lukewarm coffee at 40°C left in a paper cup When you pour g of boiling water into the cup, the temperature of the resulting coffeelike mixture will be now 50°C A box of graham crackers is labeled "1 Calories per serving" Assuming this means 1 kcal, and recalling
You should use between 325 and 425 ounces of coffee grounds per 64 ounces of water (901 grams of coffee to 19 litres of water) The water temperature must be at 0 degrees Fahrenheit ( or – 2; The temperature of a cup of coffee t min after it is poured is given by the following equation where T is measured in degrees FahrenheitT = 75 90e−0065t(a) What was the temperature of the coffee when it was poured?For 0°F water, take your water off the heat when it starts to boil, then wait 30 seconds before pouring Pour Over Coffee (195°F5°F) Pour over coffee works well at the upper end of the range for light roasts You might want to reduce your temperature somewhat if you are brewing a darker roast, though



Few Node Transient Models Springerlink



Shsu Edu
Solution Tu=30, 0 =100so ue=30 (100−30) kt =3070ekt3 Exercise 3816 A freshly brewed cup of coffee has temperature 95 C in a C room When its temperature is 70 C, it is cooling at a rate of 1 C per minute When does this occur?Physics Q&A Library The temperature C of a fresh cup of coffee t minutes after it is poured is given by C = 125e−003t 67 degrees Fahrenheit (a) Make a graph of C versus t I answered ( a) correctly (b) The coffee is cool enough to drink when its temperature is 145 degrees



Caffeine Study Crema Coffee Garage Australia



Impact Of Consumer Behavior On Furan And Furan Derivative Exposure During Coffee Consumption A Comparison Between Brewing Methods And Drinking Preferences Sciencedirect
For both tests the starting temperature was 66 degrees Celsius I made a cup of AeroPress coffee to test in the CamelBak Forge First test In the first heat retention test I poured coffee into the CamelBak and measured the temperature at 66 degrees Celsius (150,8 degrees Fahrenheit)Temperature of the heated object and k is a negative number u0 Example An object is heated to 100 degrees C and is then allowed to cool in a room whose air temperature is 30 degrees C If the temperature of the object is 80 degrees after 5 minutes, when will its temperature be 50 degrees?A hot cup of coffee is left to sit on the kitchen counter The temperature of the coffee is given by H 2 fit}, where H is the temperature in degrees Fahrenheit and t is the time in minutes since it was left on the counter The coffee initiallyr cools rapidly As it approaches room temperature the rate of cooling slows down



Zojirushi Sm Yae48 Travel Mug Rasp Rivet



Answered Newton S Law Of Cooling The Temperature Bartleby
That's equivalent to 93 Celcius) when it comes in contact with the grounds Lastly, the total dissolved solids (TDS) measured in any givenThe temperature C of a fresh cup of coffee t minutes after it is poured is given by C = 128e−003t The temperature of a certain cup of coffee 10 minutes after it was poured was 1 degrees Fahrenheit If the temperature F of the coffee t minutes after it was poured can be determined by the formula F = 1*2^ (at) 60, where F is in degrees Fahrenheit



2



Solved Newton Law Of Cooling The Temperature Of Cup Of Coffee Min After It Is Poured Is Given By The Following Equation Where T Is Measured In Degrees Fahrenheit T 65 100e 0s8t
Example #1 Determine the final temperature when 322 g of water at 149 °C mixes with 322 grams of water at 468 °C This is problem 8a from Worksheet #2 First some discussion, then the solution Forgive me if the points seem obvious 1) TheA cup of hot coffee will, over time, cool down to room temperature The principle of physics governing the process is Newton's Law of Cooling Experiments with a covered cup of coffee show that the temperature (in degrees Fahrenheit) of the coffee can be modelled by the following equation $$ f(t) = 110e^{008t}75 $$ Here the time $t$ is measured in minutes after the coffee was poured into the cup_____ F b) When will the coffee be cool enough to drink (say, 1 degrees F)?



Apc Modeling With Exponential Functions



Solved A Cup Of Coffee At A Temperature Of 165 Degree F Is Chegg Com
The amount of heat that must be added to melt all of the ice is about 5600 cal While studying for this quiz you realize that you still have 100g of lukewarm coffee at 40 degrees C left in a paper cup When you pour g of boiling water into the cup, the temperature of the resulting coffeelike mixture will now beThe temperature (in degrees Fahrenheit) of a cup of coffee can be modeled by the following equation f(t)=801e^(008t) Here the time t is measured You should use between 325 and 425 ounces of coffee grounds per 64 ounces of water (901 grams of coffee to 19 litres of water) The water temperature must be at 0 degrees Fahrenheit ( or – 2;



Pdf At What Temperatures Do Consumers Like To Drink Coffee Mixing Methods



1 Point Newton S Law Of Cooling States That The Temperature Of An Object Changes At A Rate Brainly Com
I poured a cup and measured the temp 66 degrees Fahrenheit I pulled out a stopwatch app and measured how long it took to heat five and a half minutes I poured a cup of the water in the same mug (emptied of the previous water) and then measured the temp 194 degrees FahrenheitCalculus Calculus questions and answers 0000 A cup of coffee is poured, and the temperature is measured to be 1 degrees Fahrenheit The temperature of the coffee then decreases at a rate modeled by r (t) = 55e 0032° degrees Fahrenheit per minute, where t is the number of minutes in the coffee was pouredQuestion A cup of coffee is heated to 180°F and placed in a room that maintains a temperature of 75°F The temperature of the coffee after t minutes is given by T(t) = 75 115e^−0042t (a) Find the temperature, to the nearest degree, of the coffee 30 minutes after it is placed in the room



Solved A Cup Of Coffee Is Poured And The Temperature Is Chegg Com



1
A cup of coffee is heated to 180°F and placed in a room that maintains a temperature of 60°F The temperature of the coffee after t minutes is given by (a) Find the temperature, to the nearest degree, of the coffee minutes after it is placed in the room_____°F T(t) = 60 115(4317) T(t) = 60 496 T(t) = 1096 degrees after min(Round your answer to one decimal place) Question The temperature of a cup of coffee t min after it is poured is given by the following equation where T is measured in degrees FahrenheitT Best Answer Copy The average temperature of a cup of coffee should be servedbetween 160 degree Fahrenheit and 185 degrees Fahrenheit Theliquids in this temperature range can cause significant



Modulation Of Infusion Processes To Obtain Coffee Derived Food Ingredients With Distinct Composition Request Pdf



Solved Newton S Law Of Cooling The Temperature Of A Cup Of Chegg Com
32 degrees F or 0 degrees C Kelvin Temperature Based on the motion of molecules so even though the temperature is the same the cup of coffee has LESSThe temperature C of a fresh cup of coffee t minutes after it is poured is given by C = 125e −003t 67 degrees Fahrenheit (a) Make a graph of C versus tA cup of coffee is heated to 180°F and placed in a room that maintains a temperatureA cup of coffee which is initially at a temperature of 154 degrees Fahrenheit is placed in a room which is at a constant temperature of 71 degrees In 10 minutes, the coffee has cooled to 133 degrees Find the Newton's Law of Cooling formula that models the coffee's temperatureThe temperature C of a fresh cup of coffee t minutes after it is poured is given by C 125e003 75 degrees Fahrenheit (a) Make a graph of C versus t 0 0 180 180 160 160 140 140 1 1 100 100 80 80 60 60 40 40 40 00 0 100 1 140 160 180 0 2 240 40 60 80 100 1 140 160 180 0 2 240 0 0 180 180 160 160 140 140 1 1 100 80 80 60 60 40



Beverages Free Full Text Roasting Conditions And Coffee Flavor A Multi Study Empirical Investigation Html



Modulation Of Infusion Processes To Obtain Coffee Derived Food Ingredients With Distinct Composition Request Pdf
The temperature of a certain cup of coffee 10 minutes after it was poured was 1 degrees Fahrenheit If the temperature F of the coffee t minutes after it was poured can be determined by the formula , where F is in degrees Fahrenheit and a is a constant, then the temperature of the coffee 30 minutes after it was poured was how many degrees Fahrenheit?A cup of hot coffee has a temperature of 0 degrees Fahrenheit when freshly poured, and is left in a room at 70 degrees Fahrenheit One minute later the coffee has cooled to 190 degrees Fahrenheit Answer a f'(t) is negative b The unit is degC/min c At 35 minutes after the coffee was put on the counter, its temperature is 68 and will decrease by about 075 in the next 30 seconds Stepbystep explanation From the question we are told we are told that The equation for the temperature of a cup of coffee place on a counter is



Frontiers Virtual Terroir And The Premium Coffee Experience Psychology



Pdf Sonic Seasoning And Other Multisensory Influences On The Coffee Drinking Experience
You should use between 325 and 425 ounces of coffee grounds per 64 ounces of water (901 grams of coffee to 19 litres of water) The water temperature must be at 0 degrees Fahrenheit ( orQ= (800 g)× (0215 cal/g ⋅°C)× (160°C−40 °C) Q=640 cal While studying for this quiz you realize that you still have 100 g of lukewarm coffee at 40°C left in a paper cup When you pour g of boiling water into the cup, the temperature of the resulting coffee For the first test, I poured coffee with a temperature of 66 degrees Celsius (150,8 degrees Fahrenheit) into the Zojirushi and the plastic travel mug In both cases I measured the coffee's temperature every half an hour, for five hours For me, 66 degrees Celsius is warm enough, but some might find it too cold



The 3 Mug Warmers We Love For Keeping Our Coffee And Tea Hot Reviews By Wirecutter



Molecules Free Full Text Characterization Of The Aroma Profile And Main Key Odorants Of Espresso Coffee Html
Example 3 Calculating the Final Temperature When Heat Is Transferred Between Two Bodies Pouring Cold Water in a Hot Pan Suppose you pour 0250 kg of 0ºC water (about a cup) into a 0500kg aluminum pan off the stove with a temperature of 150ºC Assume that the pan is placed on an insulated pad and that a negligible amount of water boils The temperature of a certain cup of coffee 10 minutes after it was poured was 1 degrees Fahrenheit So, 1 = 1 * 2^(a)( 10 ) 60 Divide both sides by 60 2(Note We are assuming that the coffee pot is being kept hot and is the same temperature as the cup of coffee when it was poured) a) 2 degrees Fahrenheit b) 279 degrees Fahrenheit c) 164 degrees Fahrenheit d) degrees Fahrenheit;



1 Part 1 Components Of Coffee Cup Quality 1 1 Content



A Cup Of Hot Coffee Has Been Left To Cool In A Room With An Ambient Temperature Of Brainly Com
Answer From Newton's Law of Cooling, the temperature of the coffee is given by T(t) = Cekt At time t = 0, 95 = T(0) = Cek·0 = C,°F (b) When will the coffee be cool enough to drink (say, 1°F)? For the first test, I poured coffee with a temperature of 66 degrees Celsius (150,8 degrees Fahrenheit) into the West Loop and the plastic travel mug In both cases I measured the coffee's temperature every half an hour, for five hours For me, 66 degrees Celsius is warm enough, but some might find it too cold



Coffee Preparation Wikipedia



Foods Free Full Text Cold Brew Coffee Pilot Studies On Definition Extraction Consumer Preference Chemical Characterization And Microbiological Hazards Html



2



Lumped Capacity Systems And Overall Heat Transfer Coefficients Springerlink



When A Chicken Is Removed From An Oven Its Temperature Is Measured At 300 F Three Minutes Later Its Temperature Is 0 F How Long Will It Take For The Chicken To Cool Off



When A Chicken Is Removed From An Oven Its Temperature Is Measured At 300 F Three Minutes Later Its Temperature Is 0 F How Long Will It Take For The Chicken To Cool Off



The 3 Mug Warmers We Love For Keeping Our Coffee And Tea Hot Reviews By Wirecutter



Frontiers Virtual Terroir And The Premium Coffee Experience Psychology



Solved Show All Work For Credit Remember No Work No Credit Stressed Out From Fast Paced Lives Travelers Are Seeking Ways To Check Out From Dail Course Hero



Solved 1 Point A Cup Of Coffee At 186 Degrees Is Poured Chegg Com



Influence Of Coffee Brewing Methods On The Chromatographic And Spectroscopic Profiles Antioxidant And Sensory Properties Scientific Reports



The Blog Posts Page 3 Coffee Ad Astra



Physical And Mechanical Methods Of Extraction From Ground Coffee And Spent Coffee Ground



The Blog Posts Page 3 Coffee Ad Astra



1 Part 1 Components Of Coffee Cup Quality 1 1 Content



Solved The Temperature Of A Cup Of Coffee T Min After It Is Poured Is Given By T 70 100 E 0 0446 T Where T Is Measured In Degrees Fahrenheit A What Was The Temperature Of



Solved 2 Points Tanapcalcbr1o 5 2 051 Newton Law Of Cooling The Temperature Of Cup Coffee Min After Is Poured Given By The Following Equation Where Is Measured Degrees Fahrenheit T 80 110e 061t



Zojirushi Sm Yae48 Travel Mug Rasp Rivet



2



Lumped Capacity Systems And Overall Heat Transfer Coefficients Springerlink



Solved Suppose You Have Just Poured A Cup Of Freshly Brewed Chegg Com



Consumer Preferences For Black Coffee Are Spread Over A Wide Range Of Brew Strengths And Extraction Yields Cotter 21 Journal Of Food Science Wiley Online Library



Impact Of Consumer Behavior On Furan And Furan Derivative Exposure During Coffee Consumption A Comparison Between Brewing Methods And Drinking Preferences Sciencedirect



Recycled Leather Cutting Waste Based Boards Thermal Acoustic Hygrothermal And Ignitability Properties Springerlink



Solved Bemperature Of Cup Coffee Min After Poureo 90e Ost What Was The Temperature Of The Coffee When Given By The Following Equation Where Tis Measured Degrees Fahranhalt Poured When Will The Coffee



Solved The Temperature Of A Cup Of Coffee T Min After It Is Chegg Com



Comparison Of Nine Common Coffee Extraction Methods Instrumental And Sensory Analysis Topic Of Research Paper In Chemical Sciences Download Scholarly Article Pdf And Read For Free On Cyberleninka Open Science Hub



Bitter Touch Cross Modal Associations Between Hand Feel Touch And Gustatory Cues In The Context Of Coffee Consumption Experience Sciencedirect



Answered The Temperature C Of A Fresh Cup Of Bartleby



The Temperature Of A Certain Cup Of Coffee 10 Minutes After It Was Poured Was 1 Degrees Fahrenheit Brainly Com



Frontiers Virtual Terroir And The Premium Coffee Experience Psychology



Frontiers Virtual Terroir And The Premium Coffee Experience Psychology



Solved 00 00 A Cup Of Coffee Is Poured And The Temperature Chegg Com



Effect Of Basket Geometry On The Sensory Quality And Consumer Acceptance Of Drip Brewed Coffee Frost 19 Journal Of Food Science Wiley Online Library



Pdf Melanoidins From Coffee And Bread Differently Influence Energy Intake A Randomized Controlled Trial Of Food Intake And Gut Brain Axis Response



Amazon Com Melitta Precision Pour Over Electric Kettle Gooseneck Pour Over Coffee Kettle Tea Kettle Stainless Steel Kettle 40 Oz 1 2 L Home Kitchen



Impact Of Consumption Temperature On Sensory Properties Of Hot Brewed Coffee Sciencedirect



2



Consumer Preferences For Black Coffee Are Spread Over A Wide Range Of Brew Strengths And Extraction Yields Cotter 21 Journal Of Food Science Wiley Online Library



Amazon Com Cresimo 68 Oz Stainless Steel Thermal Coffee Carafe Double Walled Vacuum Flask 12 Hour Heat Retention 2 Liter Tea Water And Coffee Dispenser Home Kitchen



The Temperature Of A Certain Cup Of Coffee 10 Minutes After It Was Poured Was 1 Degrees Fahrenhei Youtube



Solved 2 Points Tanapcalcbr10 5 2 051 My Notes I Ask Your Teacher I Practice Anotl Newton S Law Of Cooling The Temperature Of A Cup Of Coff Course Hero



2



Free Infographics And Data Visualizations On Hot Topics Knoema Com



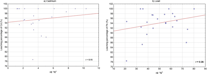
Assessment Of The Risk Of Exposure To Cadmium And Lead As A Result Of The Consumption Of Coffee Infusions Springerlink



Solved The Temperature Of A Cup Of Coffee T Min After It Is Poured Is Given By T 70 100 E 0 0446 T Where T Is Measured In Degrees Fahrenheit A What Was The Temperature Of



Consumer Preferences For Black Coffee Are Spread Over A Wide Range Of Brew Strengths And Extraction Yields Cotter 21 Journal Of Food Science Wiley Online Library



Foods Free Full Text Cold Brew Coffee Pilot Studies On Definition Extraction Consumer Preference Chemical Characterization And Microbiological Hazards Html



Answered Newton S Law Of Cooling The Temperature Bartleby



Consumer Preferences For Black Coffee Are Spread Over A Wide Range Of Brew Strengths And Extraction Yields Cotter 21 Journal Of Food Science Wiley Online Library



Finding Final Temperature When Ice Is Added To Water Youtube



Solved Suppose You Have Just Poured A Cup Of Freshly Brewed Chegg Com



2



Frontiers Virtual Terroir And The Premium Coffee Experience Psychology



1



1



Influence Of Coffee Brewing Methods On The Chromatographic And Spectroscopic Profiles Antioxidant And Sensory Properties Scientific Reports



Physical And Mechanical Methods Of Extraction From Ground Coffee And Spent Coffee Ground



2



Solved 00 00 A Cup Of Coffee Is Poured And The Temperature Chegg Com



2



Answered The Temperature Of A Cup Of Coffee T Bartleby



Solved 12 0 2 Points Previous Answers Tanapcalc9 5 2 052 Chegg Com



Consumer Preferences For Black Coffee Are Spread Over A Wide Range Of Brew Strengths And Extraction Yields Cotter 21 Journal Of Food Science Wiley Online Library



2



2



Solved 1 Point Suppose You Have Just Poured A Cup Of Chegg Com



1



2



Pdf At What Temperatures Do Consumers Like To Drink Coffee Mixing Methods



What Is The Correct Temperature For Serving Coffee



Physical And Mechanical Methods Of Extraction From Ground Coffee And Spent Coffee Ground



Effects Of Milk Heat Treatment And Solvent Composition On Physicochemical And Selected Functional Characteristics Of Milk Protein Concentrate Journal Of Dairy Science



2



Contigo Autoseal West Loop Travel Mug Rasp Rivet



Chemical And Sensory Evaluation Of Cold Brew Coffees Using Different Roasting Profiles And Brewing Methods Sciencedirect



Consumer Preferences For Black Coffee Are Spread Over A Wide Range Of Brew Strengths And Extraction Yields Cotter 21 Journal Of Food Science Wiley Online Library



The 3 Mug Warmers We Love For Keeping Our Coffee And Tea Hot Reviews By Wirecutter



Solved The Moment That A Cup Of Coffee Is Poured The Chegg Com



Zojirushi Sm Yae48 Travel Mug Rasp Rivet


0 件のコメント:
コメントを投稿